More Information
Submitted: February 03, 2021 | Approved: February 16, 2021 | Published: February 17, 2021
How to cite this article: Chan R, Kuo C, Lipworth B. A retrospective cohort study to evaluate the relationship of airway hyperresponsiveness to type 2 biomarkers in persistent asthma. Arch Asthma Allergy Immunol. 2021; 5: 008-013.
DOI: 10.29328/journal.aaai.1001023
Copyright License: © 2021 Chan R, et al. This is an open access article distributed under the Creative Commons Attribution License, which permits unrestricted use, distribution, and reproduction in any medium, provided the original work is properly cited.
Keywords: Airway hyperresponsiveness; Asthma; Allergy; Type 2 inflammation; FeNO
Abbreviations: AHR: Airway Hyperresponsiveness; AMP: Adenosine Monophosphate; AUC: Area Under Curve; EOS: Eosinophils; FeNO: Fractional exhaled Nitric Oxide; FEV1: Forced Expiratory volume in 1 Second; FEF25-75: Forced mid Expiratory Flow Rate Between 25% and 75% of Forced Vital Capacity (FVC); ICS: Inhaled Corticosteroid; IgE: Immunoglobulin E; µg: microgram; Mg/Ml: Milligrams per millilitre; PD15: Provocative Dose of Mannitol Resulting in 15% Drop in FEV1; PC20: Provocative Concentration of Histamine Resulting in 20% Drop in FEV1 ; Ppb: Parts per billion; RAST: Radioallergosorbent Testing for Specific IgE; ROC: Receiver Operator Characteristics; SEM: Standard Error of Means; T2: Type 2 Inflammation
A retrospective cohort study to evaluate the relationship of airway hyperresponsiveness to type 2 biomarkers in persistent asthma
Rory Chan, Chris RuiWen Kuo and Brian Lipworth*
Scottish Centre for Respiratory Research, Ninewells Hospital and Medical School, University of Dundee, Scotland, DD1 9SY, UK
*Address for Correspondence: Dr. Brian Lipworth, Scottish Centre for Respiratory Research, Ninewells Hospital and Medical School, University of Dundee, Scotland, DD1 9SY UK, Tel: +44 (0) 1382 383188; Email: [email protected]; [email protected]
Airway hyperresponsiveness (AHR) is a hallmark of persistent asthma measured using direct or indirect airway bronchial challenge testing. The purpose of this study is to investigate the putative relationships between type 2 inflammatory biomarkers, airway geometry (FEV1 and FEF25-75) and specific IgE (RAST or skin prick) to AHR. We performed a retrospective analysis of our database (n = 131) of patients with asthma. Of these subjects, 75 had a histamine challenge and 56 had a mannitol challenge. Fractional exhaled nitric oxide (FeNO) and specific immunoglobulin E (IgE) but not blood eosinophils were significantly higher in patients with AHR to either histamine or mannitol. FEV1 % and FEF25 - 75 % were significantly lower in patients with AHR. Elevated Type 2 biomarkers including FeNO and specific IgE but not blood eosinophils were associated with AHR.
Highlights: FeNO and specific IgE but not blood eosinophils are raised in patients with airway hyperresponsiveness.
Airway hyperresponsiveness (AHR) is a hallmark of persistent asthma and may be measured using direct histamine or indirect mannitol challenge. Direct airway challenges, using agents such as methacholine and histamine, are highly sensitive but not particularly specific for the detection of asthma [1]. They act directly by causing airway smooth muscle constriction resulting in reduced airway calibre. Indirect airway challenges such as mannitol and adenosine monophosphate (AMP) act by causing release of endogenous mediators such as leukotrienes and histamine which in turn stimulate airway smooth muscle constriction with or without microvascular leakage [2].
AHR is useful to clinicians as its severity correlates well with asthma severity and the amount of treatment required to control symptoms. AHR has traditionally been characterised by increased sensitivity to constrictor agents, a steeper slope of the dose response curve and a greater maximal response overall [3].
To better understand the concept of AHR, it can be useful to further divide its components into persistent and variable factors. Persistent factors are largely a consequence of structural airway changes including subendothelial thickening, smooth muscle hypertrophy, matrix deposition and vascular changes. These alterations in airway geometry are associated with a greater degree of airway constriction when stimulated by contractile agents. The more variable portion of AHR is thought to be related to and influenced by environmental factors such as allergens, respiratory infections and treatment [4]. It is well recognised that airway inflammation and remodelling are associated with AHR [5].
Additionally, AHR is associated with peripheral blood eosinophilia in asymptomatic individuals [6]. The degree of AHR correlates with sputum eosinophils, a steeper FEV1 decline, disease severity and worse reported symptoms [7-9]. We have previously reported on the relationship between airway geometry and inhaled corticosteroid (ICS) dose to AHR using methacholine and AMP [10].
We therefore performed a retrospective analysis of our Scottish database of asthma patients with the aim to investigate the relationship between ICS dose, allergy and baseline spirometry to AHR. Furthermore, we explored the putative connection between type 2 inflammatory (T2) biomarkers and AHR. Instead of methacholine and AMP as in our previous study [10], we used histamine and mannitol for our challenge agents.
Database
The database consisted of 131 patients with known persistent asthma taking ICS, recruited retrospectively from the Scottish Centre for Respiratory Research who had previously attended for screening into clinical trials or had attended a National Health Service (NHS) specialist respiratory clinic. All patients had physician-diagnosed asthma based on history and objective testing and were all taking inhaled corticosteroid. As part of their clinical trial, patients were characterised according to spirometry, skin prick allergy testing, histamine or mannitol challenge testing, FeNO and blood eosinophil count. Instead of skin prick testing, NHS patients underwent blood sampling for allergen specific IgE testing i.e. radioallergosorbent testing (RAST). T2 biomarkers were obtained within 6 months of airway challenge testing.
Spirometry
Spirometry (Micromedical, Chatham, UK) was performed according to American Thoracic Society (ATS) and European Respiratory Society (ERS) guidelines [11]. Prior to attending the laboratory for spirometry and airway challenge, patients had been asked not to use their short acting beta-2 agonists for 6 hours, long acting beta-2 agonists and muscarinic antagonists, theophyllines and leukotriene receptor antagonists for 48 hours.
Allergy testing
Skin reactivity to common aeroallergens (grasses, trees, house dust mite, aspergillus, dog and cat) was determined with skin prick tests (Diagenics Ltd, Milton Keynes, UK) on the volar aspect of the forearm, using a standard puncture technique [12]. Saline solution (0.9%) and histamine (1 mg/ml) were used as negative and positive controls, respectively. Wheal and flare size were measured 15 minutes after administration of allergens and a positive reaction was deemed 2mm or larger than negative control.
Blood testing was performed to detect presence of circulating levels of specific IgE antibodies to defined common allergens [Fluorescence enzyme linked immunoassay (Phadia Immunocap 250)]. In our NHS laboratory a specific IgE concentration greater than 0.35 kUA/L is considered a positive RAST test. We characterised allergy as the number of positive skin or RAST responses in an individual.
Fractional exhaled Nitric Oxide
FeNO was measured using NIOX MINO or VERO (Circassia, Oxford, UK) according to manufacturer’s instructions and ATS/ERS guidelines [13].
Bronchial challenge
Histamine was dispensed via nebuliser solution (Tayside Pharmaceuticals, Dundee, UK) and airway challenge was performed using a Mefar dosimeter with doubling concentrations up to a maximum of 32 mg/ml in accordance with ATS guidelines. The provocative concentration of histamine required to cause a 20% fall in FEV1 (PC20) was calculated by logarithmic interpolation of the log dose-response curve. A positive challenge was considered to be a PC20 < 8 mg/ml. Mannitol was given via dry powder inhaler (Aridol, Pharmaxis Ltd, Sydney, Australia) in dose increments up to a maximum cumulative dose of 635 mg until a fall in FEV1 of 15% from baseline was achieved. The mannitol cumulative dose resulting in a 15% fall in FEV1 (PD15) was calculated by linear interpolation of the log dose-response curve as previously described, with a value of < 635 mg being considered a positive test [14]. We elected to use the same threshold sensitivity values for mannitol and histamine challenges as previously reported [15].
Statistical analysis
Data were first analysed for normality with Shapiro-Wilk tests and Boxplots. Data for FeNO were logarithmically transformed to normalise the distribution prior to analysis. Independent Student’s T tests with alpha error set at 0.05 (2-tailed) were used to determine differences in FeNO, FEV1, FEF25-75 and allergy according to AHR status i.e. positive vs. negative tests. Receiver operator characteristic (ROC) curves were also plotted to evaluate sensitivity and specificity of FeNO for detecting pre-test probability of AHR. We calculated a beclomethasone equivalent daily ICS dose for the purposes of analysis. Analysis was performed using Statistical Products and Service Solutions (SPSS) for Windows Version 25 by International Business Machines Corporation (IBM).
Ethics
Caldicott Guardian approval was obtained to allow access to any National Health Service patient identifiable data including allergy, airway challenge testing, blood eosinophils, FeNO and spirometry.
All clinical trial patients consented to use of their data.
131 patients taking ICS, presenting with a known diagnosis of persistent asthma over a 2-year period were entered into the database. Demographic data are shown in table 1. Of these, 75 had a histamine challenge and 56 underwent a mannitol challenge with 73/115 (63%) of subjects being characterised as allergic on the basis of at least one positive skin prick or RAST to a common aeroallergen panel. In the combined group, all patients were taking ICS at a mean daily dose of 858 µg; 55/131 (42%) were taking a long acting beta-2 receptor agonist; 16/131 (12%) were taking a long acting muscarinic antagonist; 32/131 (24%) were taking a leukotriene receptor antagonist and 3/131 (2%) were taking theophylline. For combined challenges, there were 75/131 (57%) patients who had a positive test. ICS mean (SEM) dose was significantly lower in patients with AHR +ve vs. AHR -ve: 459(54) vs. 550(73) in the combined group (p < 0.01); 776(67) vs. 1,026(95) in the histamine subgroup (p < 0.05) and 694(86) vs. 995(119) in the mannitol subgroup (p < 0.05).
| Table 1: Patient demographics. | ||||||||||||||
| Age (yr)† | FEV1 (%)† | FEF25-75 (%)† |
FeNO (ppb)† | Combined challenges | Histamine PC20 | Mannitol PD15 | Allergy testing | |||||||
| Total | Sex | |||||||||||||
| 131 | M | F | + ve | - ve | < 8 mg/ml | ≥ 8 mg/ml | < 635 mg | ≥ 635 mg | + ve | - ve | ||||
| 45 | 86 | 47(1) | 92(1) | 60(2) | 19(2) | 75 | 56 | 40 | 35 | 35 | 21 | 73 | 42 | |
| FEV1 = Forced Expiratory Volume in 1 second; FEF25-75 = Forced mid Expiratory Flow rate at 25% to 75% of forced vital capacity; FeNO = Fractional exhaled Nitric Oxide; PC20 = Provocative Concentration causing 20% drop in FEV1; PD15 = Provocative Dose causing 15% drop in FEV1; SEM = Standard Error of Mean. †values are presented as means (SEM). | ||||||||||||||
Both FEV1 % and FEF25-75 % were significantly lower in patients with positive versus negative AHR (Table 2) when the challenges were combined (Figure 2), and also for histamine responders on their own. FeNO was shown in combined (Figure 2), histamine and mannitol groups to be significantly higher in patients with AHR compared to those without. Patients with AHR demonstrated a significantly higher allergic burden (Figure 2) in terms of number of positive skin or RAST responses. This difference was largely attributed by patients in the histamine subgroup as it was not significant in the mannitol subgroup.
| Table 2: FeNO, spirometry and allergy in patients with or without airway hyperresponsiveness. | ||||||
| n | Age (yr) | FEV1 (%) | FEF25-75 (%) | FeNO (ppb) | Allergy | |
| Combined + ve | 75 | 46(2) | 90(2)* | 56(2)* | 26(3)*** | 2(0.2)** |
| Combined - ve | 56 | 49(2) | 95(2) | 67(3) | 10(1) | 1.1(0.2) |
| Histamine + ve | 40 | 43(3) | 91(2)* | 60(3)* | 23(4)*** | 2.1(0.3)*** |
| Histamine - ve | 35 | 51(3) | 100(3) | 72(4) | 9(2) | 0.8(0.2) |
| Mannitol + ve | 35 | 49(3) | 88(3) | 52(4) | 31(3)*** | 2(0.3) |
| Mannitol - ve | 21 | 45(4) | 88(3) | 58(5) | 15(2) | 1.5(0.4) |
| Allergy defined as number of positive skin prick tests or positive RASTs to specific IgE to at least one aeroallergen; values are shown as means (standard error of means) and geometric mean for FeNO *p < 0.05; **p < 0.01 and ***p < 0.001. | ||||||
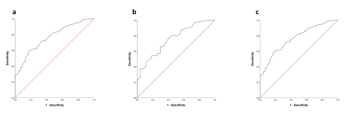
In a combined ROC analysis of AHR responders vs. non-responders (Figure 1a), the AUC value was 0.765 with p < 0.001. A FeNO threshold of > 14 ppb was associated with a sensitivity of 82% and specificity of 51% in identifying patients with a positive histamine or mannitol challenge test. In the histamine subgroup (Figure 1b), AUC was 0.754, p < 0.001 while FeNO > 14 ppb resulted in a sensitivity of 80% and specificity of 56%. For the mannitol subgroup (Figure 1c), AUC was 0.786; p < 0.001 and FeNO > 16 ppb had a sensitivity of 82% and specificity of 50%. ROC analysis for eosinophils, allergic burden, FEV1 or FEF25-75 were not significant.
There were no significant differences in blood eosinophils for the combined group when comparing AHR positive vs. negative patients [315(34) vs. 308(25) cells/µL p = 0.86] [mean (SEM)] or for either histamine or mannitol alone.
Figure 1: ROC curves depicting significant differences in FeNO levels between patients who are AHR responders and non-responders for groups a) combined (histamine and mannitol), b) histamine, and c) mannitol.
Figure 2: Values shown as means and standard error of means (geometric mean for FeNO) for significant comparisons between patients with and without AHR according to a) allergy burden, b) FeNO, c) FEV1 % predicted, and d) FEF25-75 % predicted.
Our study demonstrated elevated levels of FeNO and specific IgE but not blood eosinophils in relation to AHR. Moreover, patients with AHR also had altered geometry as FEV1 and FEF25-75. We observed that 57% of our patients had a positive challenge with either histamine or mannitol. Whether or not this infers that the remainder of our patients who were challenge negative did not have asthma is debatable. Ideally this would require a repeat challenge having had a washout period of at least 2 weeks without ICS. AHR non-responders received significantly higher ICS doses, which is in keeping with the known dose related suppressive effects of ICS on AHR and type 2 inflammation [16,17]. Non responders also had significantly better pulmonary function. In this regard improved airway calibre would attenuate AHR due to effects on airway geometry per se.
It has previously been shown that FeNO levels are higher in patients who exhibit AHR to histamine, methacholine or mannitol [7,18,19]. Pointedly our study confirmed this finding when looking at patients prescribed ICS. A prospective study showed that titrating ICS against mannitol challenge during a 1 year period was associated with a 1.52 doubling dose shift in AHR, which in turn was accompanied by improved symptom control and fewer exacerbations [20]. Our results found no association between blood eosinophils and AHR which is in contrast to previous observations [6]. This may well reflect our patients being on a relatively high dose of ICS (mean 858µg) which is known to suppress blood eosinophils [21]. FeNO is primarily regulated by IL13 and therefore findings from our study raise the question whether dupilumab, an anti-IL4rα biologic therapy, might perhaps have more beneficial effects of attenuating AHR than anti-IL5 [22].
The present study also demonstrates that airway geometry expressed as FEV1 and FEF25-75 is significantly lower in patients who exhibit AHR. The presence of airway remodelling may offer an explanation for the relationship between altered airway geometry and AHR, although without performing biopsies this assertion is speculative. Indeed, airway remodelling can theoretically augment the degree of AHR, separate from its well established effect on airway caliber [23]. In a prospective study over 2 years when ICS was titrated against methacholine AHR, attenuation of basement membrane thickness and reduced mucosal eosinophils were accompanied by improved AHR along with better lung function and symptoms [24]. Evidence to support a disconnect between airway calibre and AHR emanates from a study where dose related improvements in FEV1 with muscarinic antagonist were not accompanied by a shift in histamine AHR [25].
Previous studies examining the relationship between degree of allergy and AHR have yielded contradicting results [26]. We elected to use the number of positive skin prick or RAST tests to pragmatically assess specific IgE and hence the overall allergic load. Our study demonstrated a significant difference in allergic burden using specific IgE according to the presence of AHR.
We recognize the limitations of our retrospective analysis. We would have liked to correlate these findings with asthma control or number of exacerbations. Our study also raises the pertinent question as to whether the presence of a negative challenge indicates that the patient does not have asthma or whether this might be a false negative result as a consequence of treatment modification with ICS. We might have stopped ICS for at least 2 weeks before performing challenge testing in order to address this question. However, concurrent ICS therapy is more likely to influence AHR using direct versus indirect challenge [10,20]. For example in one study we observed that 30% of unselected patients with community managed asthma were challenge negative to either mannitol or methacholine [15]. These patients had a high burden of treatment exposure with a median beclomethasone equivalent daily dose of 1,000 µg along with 68% also taking LABA. This in turn might suggest a need for a supervised step down protocol to un-diagnose asthma in such patients [27].
In conclusion, FeNO and allergy but not blood eosinophils were significantly different when comparing AHR responders and non-responders. FeNO had a high sensitivity but low specificity in relation to the presence or absence of AHR.
Ethics Approval and consent to participate
Caldicott Guardian approval was obtained to allow access to any National Health Service patient identifiable data including allergy, airway challenge testing, blood eosinophils, FeNO and spirometry. All clinical trial patients consented to use of their data.
Consent for publication: Consent has been obtained.
Availability of data and materials: The datasets used and/or analysed during the current study are available from the corresponding author on reasonable request.
Competing interests
Dr. Chan has no relevant conflicts of interest.
Dr. Kuo reports personal fees (talks) from AstraZeneca, personal fees (advisory board) from Circassia, personal fees (talks) in relation to the submitted work, and other support from Chiesi (attending BTS) outside of the submitted work.
Dr. Lipworth reports non-financial support (equipment) from GSK; grants, personal fees (consulting, talks and advisory board), other support (attending ATS and ERS) and from AstraZeneca, grants, personal fees (consulting, talks, advisory board), other support (attending ERS) from Teva, personal fees (consulting) from Sanofi, personal fees (consulting, talks and advisory board) from Circassia in relation to the submitted work; personal fees (consulting) from Lupin, personal fees (consulting) from Glenmark, personal fees (consulting) from Vectura, personal fees (consulting) from Dr Reddy, personal fees (consulting) from Sandoz; grants, personal fees (consulting, talks, advisory board), other support (attending BTS) from Boehringer Ingelheim, grants and personal fees (advisory board and talks) from Mylan outside of the submitted work; and the son of BJL is presently an employee of AstraZeneca.
Author’s contributions
The manuscript has been read and approved by all the authors and the requirements for authorship have been met. We (authors) certify that we have (collectively) personally written at least 90% of the manuscript. The manuscript has not been published previously in print/electronic format or in another language and that the manuscript is not under consideration by another publication or electronic media.
- Joos GF, O'Connor B, Anderson SD, Chung F, Cockcroft DW, et al. Indirect airway challenges. Eur Respir J. 2003; 21: 1050-1068. PubMed: https://pubmed.ncbi.nlm.nih.gov/12797503/
- Anderson SD. Bronchial challenge tests: usefulness, availability and limitations. Breathe. 2011; 8: 53-60.
- O'Byrne PM, Inman MD. Airway hyperresponsiveness. Chest. 2003; 123(3 Suppl): 411s-416s. PubMed: https://pubmed.ncbi.nlm.nih.gov/12629006/
- Busse WW. The relationship of airway hyperresponsiveness and airway inflammation: Airway hyperresponsiveness in asthma: its measurement and clinical significance. Chest. 2010; 138(2 Suppl): 4s-10s. PubMed: https://pubmed.ncbi.nlm.nih.gov/20668012/
- Laprise C, Laviolette M, Boutet M, Boulet L. Asymptomatic airway hyperresponsiveness: relationships with airway inflammation and remodelling. Eur Respir J. 1999; 14: 63-73. PubMed: https://pubmed.ncbi.nlm.nih.gov/10489830/
- Schwartz N, Grossman A, Levy Y, Schwarz Y. Correlation between Eosinophil Count and Methacholine Challenge Test in Asymptomatic Subjects. J Asthma. 2012; 49: 336-341. PubMed: https://pubmed.ncbi.nlm.nih.gov/22715867/
- Jatakanon A, Lim S, Kharitonov SA, Chung KF, Barnes PJ. Correlation between exhaled nitric oxide, sputum eosinophils, and methacholine responsiveness in patients with mild asthma. Thorax. 1998; 53: 91-95. PubMed: https://pubmed.ncbi.nlm.nih.gov/9624291/
- Juniper EF, Frith PA, Hargreave FE. Airway responsiveness to histamine and methacholine: relationship to minimum treatment to control symptoms of asthma. Thorax. 1981; 36: 575-579. PubMed: https://pubmed.ncbi.nlm.nih.gov/7031972/
- Peat JK, Woolcock AJ, Cullen K. Rate of decline of lung function in subjects with asthma. Eur J Respir Dis. 1987; 70: 171-179. PubMed: https://pubmed.ncbi.nlm.nih.gov/3569449/
- Fowler SJ, Dempsey OJ, Sims EJ, Lipworth BJ. Screening for bronchial hyperresponsiveness using methacholine and adenosine monophosphate. Relationship to asthma severity and beta(2)receptor genotype. Am J Respir Crit Care Med. 2000; 162: 1318-1322. PubMed: https://pubmed.ncbi.nlm.nih.gov/11029338/
- Miller MR, Hankinson J, Brusasco V, Burgos F, Casaburi R, Coates A, et al. Standardisation of spirometry. Eur Respir J. 2005; 26: 319-338. PubMed: https://pubmed.ncbi.nlm.nih.gov/16055882/
- Heinzerling L, Mari A, Bergmann KC, Bresciani M, Burbach G, et al. The skin prick test – European standards. Clin Transl Allergy. 2013; 3: 3. PubMed: https://pubmed.ncbi.nlm.nih.gov/23369181/
- ATS/ERS recommendations for standardized procedures for the online and offline measurement of exhaled lower respiratory nitric oxide and nasal nitric oxide, 2005. Am J Respir Crit Care Med. 2005; 171: 912-930. PubMed: https://pubmed.ncbi.nlm.nih.gov/15817806/
- Currie GP, Haggart K, Brannan JD, Lee DKC, Anderson SD, et al. Relationship between airway hyperresponsiveness to mannitol and adenosine monophosphate. Allergy. 2003; 58: 762-766. PubMed: https://pubmed.ncbi.nlm.nih.gov/12859555/
- Manoharan A, Lipworth BJ, Craig E, Jackson C. The potential role of direct and indirect bronchial challenge testing to identify overtreatment of community managed asthma. Clin Exp Allergy. 2014; 44: 1240-1245. PubMed: https://pubmed.ncbi.nlm.nih.gov/24912796/
- Wilson AM, Lipworth BJ. Dose-response evaluation of the therapeutic index for inhaled budesonide in patients with mild-to-moderate asthma. Am J Med. 2000; 108: 269-275. PubMed: https://pubmed.ncbi.nlm.nih.gov/11014718/
- Currie GP, Fowler SJ, Lipworth BJ. Dose response of inhaled corticosteroids on bronchial hyperresponsiveness: A meta-analysis. Ann Allergy Asthma Immunol. 2003; 90: 194-198. PubMed: https://pubmed.ncbi.nlm.nih.gov/12602665/
- Zietkowski Z, Bodzenta-Lukaszyk A, Tomasiak MM, Skiepko R, Szmitkowski M. Comparison of exhaled nitric oxide measurement with conventional tests in steroid-naive asthma patients. J Investig Allergol Clin Immunol. 2006; 16: 239-246. PubMed: https://pubmed.ncbi.nlm.nih.gov/16889281/
- Sverrild A, Porsbjerg C, Thomsen SF, Backer V. Airway hyperresponsiveness to mannitol and methacholine and exhaled nitric oxide: a random-sample population study. J Allergy Clin Immunol. 2010; 126: 952-958. PubMed: https://pubmed.ncbi.nlm.nih.gov/20934208/
- Lipworth BJ, Short PM, Williamson PA, Clearie KL, Fardon TC, et al. A randomized primary care trial of steroid titration against mannitol in persistent asthma: STAMINA trial. Chest. 2012; 141: 607-615. PubMed: https://pubmed.ncbi.nlm.nih.gov/21998259/
- Jabbal S, Lipworth BJ. Blood eosinophils: The forgotten man of inhaled steroid dose titration. Clin Exp Allergy. 2018; 48: 93-95. PubMed: https://pubmed.ncbi.nlm.nih.gov/29117628/
- Chan R, RuiWen Kuo C, Lipworth B. Pragmatic Clinical Perspective on Biologics for Severe Refractory Type 2 Asthma. J Allergy Clin Immunol Pract. 2020; 8: 3363-3370. PubMed: https://pubmed.ncbi.nlm.nih.gov/32673880/
- Meurs H, Gosens R, Zaagsma J. Airway hyperresponsiveness in asthma: lessons from <em>in vitro</em> model systems and animal models. Eur Respir J. 2008; 32: 487-502. PubMed: https://pubmed.ncbi.nlm.nih.gov/18669789/
- Sont JK, Willems LN, Bel EH, van Krieken JH, Vandenbroucke JP, Sterk PJ. Clinical control and histopathologic outcome of asthma when using airway hyperresponsiveness as an additional guide to long-term treatment. The AMPUL Study Group. Am J Respir Crit Care Med. 1999; 159: 1043-1051. PubMed: https://pubmed.ncbi.nlm.nih.gov/10194144/
- Britton J, Hanley SP, Garrett HV, Hadfield JW, Tattersfield AE. Dose related effects of salbutamol and ipratropium bromide on airway calibre and reactivity in subjects with asthma. Thorax. 1988; 43: 300-305. PubMed: https://pubmed.ncbi.nlm.nih.gov/2970125/
- Suh DI, Koh YY. Relationship between atopy and bronchial hyperresponsiveness. Allergy Asthma Immunol Res. 2013; 5: 181-188. PubMed: https://www.ncbi.nlm.nih.gov/pmc/articles/PMC3695231/
- Lipworth BJ, Jabbal S. Un-diagnosing persistent adult asthma. Eur Respir J. 2017; 50: 1701433. PubMed: https://pubmed.ncbi.nlm.nih.gov/29097435/